小麦是小麦系植物的统称,是一种在世界各地广泛种植的禾本科植物,也是世界上最早栽培的农作物之一。小麦肤色人类主食之一,其富含淀粉、蛋白质、脂肪、矿物质、维生素等。
小麦胚芽中胚芽油占10%左右,可通过有机溶剂进行萃取得到,再通过一系列精炼工艺得到淡黄色的谷物胚芽油。它的营养成分是非常丰富的,其主要成分是亚麻酸、亚油酸、油酸等一系列的不饱和脂肪酸。其中亚麻酸是人体中一种必需的脂肪酸。从营养学角度看,小麦胚芽油在组成上是非常理想的。
2实验部分
2.1实验仪器及试剂
脂肪测定仪(那艾仪器);分析天平;鼓风干燥箱;旋风磨;干燥器;100mL量筒。
实验用水应符合GB/T6682中三级用水的规格,使用试剂除特殊说明外,均为分析纯。
石油醚(60~90℃);滤纸;脱脂棉。
2.2实验步骤
1.仪器准备:请参照说明书,清洗溶剂杯,干燥并称重记为m0。
2.取样:用旋风磨将样品粉碎,精确称取干燥样品约2.0g(记为m),放入滤纸筒内,并覆盖上一层脱脂棉。
3.萃取:加入抽提溶剂50mL,打开冷凝水,启动脂肪测定仪。设置回流时间2.5h、萃取温度95℃,进行萃取。预干燥15min。
4.计算结果:抽提完成后,烘干溶剂杯至恒重,记为m1。
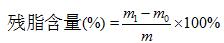
增重法计算残脂含量:

其中,m1──溶剂杯和残脂质量,g;
m0──溶剂杯质量,g;
m ──试样质量,g;
计算得出实验结果。
3注意事项
注意石油醚的挥发及易燃性,萃取过程中应及时注意通风。